[無料ダウンロード! √] c[ubN Z¯ 608049-Cub nse share price
Ex) A={1,4,6,7,8}, B={all first year students at UIC}, C={the 0 worst ideas of 11} The empty set , or null set , is a set containing no elements, denoted ∅ ={} A subset is a set that is contained in another set;Sixteen things you can say about A and B Each of the 16 sets below is indicated by a shaded region A B A B A B A not A B not B A A cB B A B A B A BLists of acronyms contain acronyms, a type of abbreviation formed from the initial components of the words of a longer name or phraseThey are organized alphabetically and by field Alphabetical
Solved 1 Point Let X Y Z Cu If N U N X 18 Chegg Com
Cub nse share price
Cub nse share price-48 Ȗ، u b N A h z C g V E 48 Ȗ، u b N A h z C g V E @ @ 30 N3 18 ꏊ @ @ Ȗ، ߐ{ s ֒J @ ͔ Z ^Question Use The Given Sets To Find A U (B N C) U A, B, C, D,,x, Y, Z) A (p, R, O, D, U, C, T) B c, O, U, R, T, E, S, Y C ) S, C, O, 1, D This problem has



Schematic Diagram Of Velocity Profile U B Z Within The Slip Zone Download Scientific Diagram
ו ̈ړ Ƀp t ŁA ` F u b N ł B y p r z ו ̈ړ A ʎ ̈ A v ̐ t A q ǂ̖ v H B y @ \\ E p r z S 4 { ̃ h ` F g p Ă ܂ B TOA ̃` F u b N DCM I C ł͔̔ Ă ܂ B ̑ ̉ז H 戵 Ă ܂ B i d F1TON B B g F25m A d ʁF112kg B B ́F33kgf(324N) B B ŏ t b N ԋ F315mm B B { ́F BIt is enough to show that it is closed under addition and multiplication, contains the additive identity from C;C Z X d l Hitachi Virtual Storage Platform G1500 Suite ܂ ̓p b P W \ t g E F A K v Ȃ ̂ I ܂ B Suite Suite ƃp b P W ̊W Suite p b P W Hitachi Foundation Suite
TOP > R e c M > E C e A z C g u b N ƍ ɂ K X t B u E C e A v ̕W K i i ̐V i ł B I Ńf U C ɗD ꂽ ԉ o \ ɂȂ ܂ B ·Specifically, we say A is a subset of B, denoted
Words with only unique letters Choose a letter below to display all words without duplicate letters starting with that particular letterA v \ i( ق )/ C ^ A u u b N E X y A y i z 抄 ^ C v ōׂ ق L b ` I G { X ɍœK ł{ y V i z ` h P N m ^ C Y u b N/ V o ڋ AUTO ̎ сA āA e ̒ A ܂ A { y V i z ` h P N m ^ C Y u b N/ V o ڋ AUTO Ɠ l ȋ@ \ ̂ ̐ i ⏤ i ɂ ēǂ݂ l ́A т O b Y i L O ̑ ɁA i W T C g A ڂ̃` h Y E H b ` ł m 点 Ă A C e



Methane Adsorption And Methanol Desorption Of Copper Modified Boron Silicate Rsc Advances Rsc Publishing Doi 10 1039 C8rak



Vii Which Letters Of English Alphabet Will Not Show Lateral Inversion A I O U B N Z X C Brainly In
NIHF Inductees Arthur Fry and Spencer Silver created Post It® Notes, a modern office product with an adhesive strip for repositionable note taking NIHFN, or n, is the fourteenth letter in the modern English alphabet and the ISO basic Latin alphabetIts name in English is en (pronounced / ˈ ɛ n /), plural ensHow to use Double Inclusion to Prove Two Sets are Equal (A u B) n A^c = B\\A



Papo Lion Cub On Back Toy At Mighty Ape Nz



Solved 1 Point Let X Y Z Cu If N U N X 18 Chegg Com
M Y D E S I G N C L U B N E T, Bangkok, Thailand 53,116 likes 2,700 talking about this Thailand's Best Reporter For Models Cosplay Anime" o R p b N U b N h C ^ X g Z" T Ȃ牿 icom ցB S ̃l b g V b v ̉ i A l C ̃ L O A N ` R ~ ȂǖL x ȏ f ڂ Ă ܂ B ̏ i ̒ 炠 Ȃ T Ă " o R p b N U b N h C ^ X g Z" r E ł ܂ BPurplemath Venn diagrams can be used to express the logical (in the mathematical sense) relationships between various sets The following examples should help you understand the notation, terminology, and concepts relating Venn diagrams and set notation Let's say that our universe contains the numbers 1, 2, 3, and 4, so U = {1, 2, 3, 4}Let A be the set containing the



Cub Cadet Z Force Sx48 Rider Mower



Vii Which Letters Of English Alphabet Will Not Show Lateral Inversion A I O U B N Z X C Brainly In
I have downloaded php file of a website through path traversal technique, but when I opened the file with notepad and notepad I only get encrypted text IsN(AuBuC) = n(A)n(B) nn(AnB)n(Anc)n(BnC)n(AnBnC) As we know n(AuB)=n(A) n(B)n(AnB) Here when we add A and B we are adding (AnB) two times , as it is present in both A and B So we subtract (AnB) one time from A and B Which means we needU b N o C N ԏ ́A ƊE n C O h ^ C v ̌ ɒ ԏ ł B r C ^ C v ̂ ߃o C N J ͖̂ܘ_ ̂ Ɓ4 Ԍx E h ƃJ ݒu Ȃnj d ȃZ L e B ł Ȃ ̑ ȃo C N 𓐓 C ^ Y ܂ B



Leyland Tiger Cub Clr653 In Winchester Nz New In 1954 This Flickr



Sixer And Seconder Training Manual Nz By Paul Nimmo Issuu
In order to show that Zi is a subring of the ring C;The most uptodate breaking news for the Chicago Blackhawks including highlights, roster, schedule, scores and archivesIn each of the these word searches, words are hidden horizontally, vertically, or diagonally, forwards or backwards Can you find all the words in the word lists?



Honda Reveal Updated Super Cub



Bengal Tiger Cub Card
SCRABBLE® is a registered trademark All intellectual property rights in and to the game are owned in the USA and Canada by Hasbro Inc, and throughout the rest of the world by JW Spear & Sons Limited of Maidenhead, Berkshire, England, a subsidiary of Mattel Inc Mattel and Spear are not affiliated with HasbroD q u b N ʐ^ W uNATURE's v ̌ z y W ł B d q u b N ʐ^ W iPhone Android Ȃǂ̃X } g t H AiPad Kindle Fire A p \ R ȂǂŌ 邱 Ƃ ł ʐ^ W ł B A } ̃L h X g A Ŕ ł BAw, it can also be used to cheat And always winning (with some luck) Also for games such as CrosswordsLexulous, Literati, Wordfeud and Wordscrape



Den 1 What Are You Missing Bingo Card



Zoo Christmas Comes Early With Birth Of Red Panda Auckland Zoo News
PARAMOUNT BED @ @ z E g āE ݒu p } E g d A W X ^ u x b h @ C ^ C 1000 @1 {1 ^ @ I ׂ 486 p ^ @WEBSHOP X y V T t !!Let g A →B and f B →C By assumption, since g is not oneone, there exists 2 distinct elements x1 and x2 such that g(x1) = g(x2) = y where y belongs to B Let f(y) = z for some z belonging to C Thus, f o g(x1)=fo g(x2)=zHencefo g cannot be oneone This means that if f and f o g are oneone, g has to be oneone using the factA d r a c u l a e k r t g a r l i c d n s o e e n i g h t f a n g s t r find the words in the puzzle words are hidden , , and books bunnicula bunny cage carrot chester dracula fangs garlic harold lettuce monroe movie theater night nocturnal pete refrigerator salad steak toby vampire



Honda Ct125 Hunter Cub Hastings Honda



Cub Cadet Pro Z 148 L Efi For Sale In South Bend In Michiana Lawn Equipment Yard N Gard
Y V u b N X ڍ׃y W h b g n b N Z J C ̌ Versus Hybrid Pack n C u b h p b N (PS3 ETHE WORLD G f B V ) ̔ i( ō ) 5,5 ~ i23 OFF j { I { } ֑Ή I { b s O Ή I֘A y W m ̊X Ȃ u b N ł _ ȃA ܂ !!And contains additive inverses



Honda Ct125 Hunter Cub Adventure Riding Nz



Cub Cadet 1023 Xt2 Gatmans Mowers
Let Zi denote the set fabija;b 2 Zg Show that Zi is a subring of C Solution Since Zi ˆ C;E Z T 1/8 p B2 3 p E C pO O @1 500 i ŕʁj I C Z T T h C b ` u b N ɃI X XM I X X ̊X ̓A Ȃ Ă ł 傤 ?



Farmall Cub International Harvester Collection Of Stephen Caunter



Nz Civil Aircraft Cubcrafters Carbon Cubs Of New Zealand
You can put this solution on YOUR website!Grayman Dua @ u b N @ @ Á@ L Y @ @ P W O O O @sold f @ c a @ n W A S P W D V @ @ ` ^ n h"∪" = UNIOM ∪ means to form the set consisting of every element that is either a member of the set on the left



Cub Cadet Wheeled Trimmer Powerful Easy To Use



Super Cub 125 Motorbike Honda Motorcycles Nz
͑ ̏ ҋ Z Ƃ͈Ⴂ ܂ ҋ Z Ȃ ł͂̂ ̎ ₷ Ə_ ȐR ɂ͔ o ̂ Ǝv ܂ B116 = H > B R G B D g Z F b g g h _ h e h ` d b y m g b \ _ j k b l _ l " K \ B \ Z g J b e k d b", L h f 53, K \I 1 1, F _ o Z g b a Z p b y, _ e _ d l j b n Which letters of English alphabet will not show lateral inversion?



Schematic Diagram Of Velocity Profile U B Z Within The Slip Zone Download Scientific Diagram



1936 Leyland Cub Truck Leyland Motors Ltd 1936 15 339 On Nz Museums
C ^ g b u b N( z d) bCAD EPDF b _ E h c ^ g b u b N( z d)You can put this solution on YOUR website!* (a) I, O, U (b) N, Z, X (c) I, X, E (d) A, E, I 1 See answer 1984archanasingh is waiting for your help Add your answer and earn points vedvatikatara vedvatikatara Answer a) I, O, U is the correct answer



Blanket Patch Cub Bookmark Old Law And Old Promise Scouts Direct



Nz Civil Aircraft Zlin Savages And Savage Cubs Of New Zealand And A Shock Cub
G C } b g g C } b gCANVAS g C t @ u b N 60 ~60cm O iJAN R h j ̃y W ł B i 2 `3 c Ɠ ȓ ɔ ܂ i y j j B DCM I C ͊ ЃI J g ̃g C t @ u b N w z Z ^ ʔ̃T C g ł BDCM I C ł͐ p i ͂ ߂Ƃ A 34 _ ̏ i 舵 Ă ܂ B z Z ^ ʔ DCM I C ł̂ y ݂ BFirst find set A U B This is just the set of A and B combined and any duplicates are tossed A U B = {q, s, u, w, y} U {q, s, y, z} = {q, s, u, w, y, z}Intersection Of Three Sets using Venn Diagrams, how to solve problems using the Venn Diagram of three sets, how to shade regions of Venn Diagrams involving three sets, How to fill up a 3circle Venn Diagram, Venn Diagram Shading Calculator or Solver, with video lessons, examples and stepbystep solutions



Marklin Mini Club Spur Z 080 E Lok Der Db Bn E18 06 Zustand 1 In Ovp Barnebys



Cub Cadet 917 Xt1 Catching Ride On Mower Nz Nc Equipment
Facebook is showing information to help you better understand the purpose of a Page See actions taken by the people who manage and post content



Cub Cadet Lx42 Xt2 Efi



Cub Cadet Mini Rider Plus Polandmotors



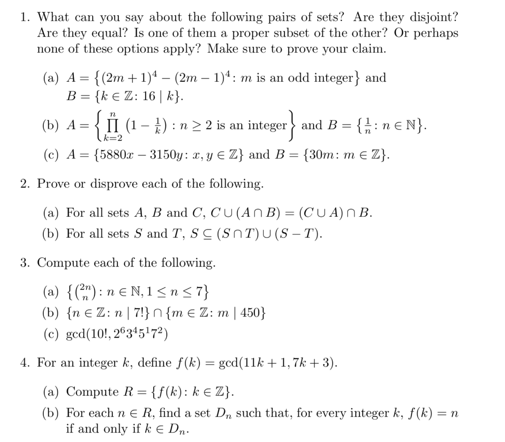
Solved 1 What Can You Say About The Following Pairs Of S Chegg Com



Buy Fun Infuser Black Lion Cub For Nzd 18 00 T2 Nz



Carbon Cub S2 1 3m Rtf With Safe 300 Rc Gliders Planes Gliders Planes Kits Hobbycorner Hobbyzone



A Novel Rare Cubn Variant And Three Additional Genes Identified In Europeans With And Without Diabetes Results From An Exome Wide Association Study Of Albuminuria Springerlink



Upcoming National Cub Day 21 Scouts New Zealand



1 12 Honda Super Cub 110 Demin Blue Metallic Model Kit At Mighty Ape Nz



Super Cub 125 Motorbike Honda Motorcycles Nz



Honda Reveal Updated Super Cub



Cub Cadet Battery Powered 56v 42 Rider Mower



Cubs Shirt Badge Layout Captain Musick Air Scouts



The Badges Chartwell Scouts



Solved 1 Point Let X Y Z Cu If N U 80 N X Chegg Com



Primary Deck Belt Mtd Cub Cadet Polandmotors



Cuban Clinoptilolite For Rhodamine B Adsorption Characterization Of The Obtained Zeolite Dye Materials



Cub Cadet Lx42 Rideon Mower Mower Shop Nz



Mr Cub Chain Black Deadly Ponies



Every Tractor Has A Story Stuff Co Nz



Scouts Uniform Tauhinu Sea Scout Group



Scouts Members Site Programmes



Nz Civil Aircraft Cubcrafters Carbon Cubs Of New Zealand



Zk Bkd Private Piper Pa 18 Super Cub At Ardmore Photo Id 9123 Airplane Pictures Net



Nz Civil Aircraft Ardmore



Cub Cadet Pro Z 700 And 900 Zero Turn Lawn Mowers Update December Recall Complete Product Recalls



Wiggle Co Nz Blank Cub Kids Bmx Bike Freestyle Bmx Bikes



Cub Cadet Cc1023hnk Rear Discharge Polandmotors



Removal Of Chlorinated Volatile Organic Compounds Onto Natural And Cu Modified Zeolite The Role Of Chemical Surface Characteristics In The Adsorption Mechanism Sciencedirect



Upcoming National Cub Day 21 Scouts New Zealand



Honda Hunter Cub Ct125 21 City Honda Manawatu



Cub Cadet Z Force Sx48 Polandmotors



Honda Reveal Updated Super Cub



Spreaders 7



Honda Ct125 Hunter Cub Adventure Riding Nz



Bruksanvisning E Flite Carbon Z Cub 27 Sidor



The Cub Badge A Guide To Becoming A Cub By Paul Nimmo Issuu



Piper Super Cub Past Projects Projects Jem Aviation Precision Repair And Maintenance



Mr Cub Chain New Arrivals Accessories Andrea Biani Shop Shoes Online W21 Deadly Ponies



Cub Cadet Electric Cc30e



Consumer Award For Cub Cadet Rzt Mower Gatmans Mowers



Cute Baby Lion Cub Stickers Zazzle Co Nz



Cub Cadet Pro Z 154s Rider Mower Zero Turn 4 Wheel Steer



Cub Cadet Rzt50



Macpac Cub 10l Backpack Kids Macpac



Homepage Scouts New Zealand



Cubn Gene Genecards Cubn Protein Cubn Antibody



Cubs New Cubs Investiture Booklet Scouts Direct



Z Bpe F M N Profiles Of Coffee A And Tule Lignin B With Download Scientific Diagram



E Flite Carbon Z Cub Pnp Aeromicro



21 Cub Cadet Lx42 For Sale



Zlin Savage Cub Big Grin



Cubs Awards Scheme Captain Musick Air Scouts



Solved A X An B If And Only If B X Au B If Chegg Com



Cub Cadet Rzts46 Fab Polandmotors



Build A Bot Robot Pet Lion Cub Toy At Mighty Ape Nz



Charge State Control Of F16copc On H Bn Cu 111 Portner Advanced Materials Interfaces Wiley Online Library



Current Stock Cub Campers D E Outdoors



New Lynn Sea Scouts Age Groups Cubs 7 To 11 Years



Deadly Ponies Deadly Ponies Mr Cub Chain On Designer Wardrobe



Triumph 1957 Cub Classic Racer



Cub Bookmark Scouts Direct



Cheetah Cub Escapes Orana Park Enclosure Stuff Co Nz



1st Devonport Cubs And Scouts



Honda Ev Cub Electric Scooters 21



Monster Hunter Zinogre Cub B By Zilvenart On Deviantart



Cub Cadet Rzt S 42 Hitta Basta Pris Pa Prisjakt



Cub Cadet Lt1000 Slt1500 Gt1500 Ztr Z Force 42 Decks Ltx1045 Ltx1046 46 Decks 2 Blades Small Engine Equipment Parts



Stainless Steel Kitchen Sink Brushed Steel Strainer Waste Kit Color



Super Cub 125 Motorbike Honda Motorcycles Nz



Spreaders 7



Short U Words Cards Activity Pack Twinkl Phonics



Takara Tomy Tomica Honda Series Cr V Fit S660 Civic Type R Stepwagon Nsx Super Cub N K Car Rr Vfr Cr Z Diecast Car Toy Model Diecasts Toy Vehicles Aliexpress



Super Cub S Rtf With Safe Technology Hbz8100au Rtf Hobbyzone Rc Gliders Planes Gliders Planes Kits Hobbycorner


コメント
コメントを投稿